
- Обучение
- Поступление в ЗФТШ
- О ЗФТШ
- Учителям
- Лекторий
-
Курсы
- Заочное отделение
- Очное отделение
- Факультативы
это предельные (насыщенные) циклические углеводороды. Простейшие представители этого ряда:
Общая формула гомологического ряда циклоалканов (циклопарафинов) `"C"_n"H"_(2n)`. Их разделяют по числу атомов углерода в цикле на малые (три-четыре атома), обычные (пять-семь атомов), средние (восемь – двенадцать атомов) и большие (тринадцать атомов и более).
Каждый атом углерода в циклоалканах находится в `"sp"^3`-гибридизации и образует четыре `σ`-связи (`"C" - "C"` и `"C" - "H"`). Углы между связями зависят от размеров цикла. В малых циклах углы между связями сильно отличаются от тетраэдрического угла `109,5^@`, что создает в молекулах напряжение и обеспечивает их высокую реакционную способность.
Для циклоалканов возможна изомерия:
а) углеродного скелета;
б) положения заместителей;
в) пространственная;
г) межклассовая.
Так, существует несколько изомерных циклоалканов с молекулярной формулой `"C"_7"H"_14`. Приведем четыре из них:
Последние два соединения существует в виде пространственных цис- и транс- изомеров:
Каждому циклоалкану изомерен соответствующей алкен (межклассовая изомерия).
Названия циклоалканов строят путём добавления приставки цикло- к названию алкана с соответствующим числом атомов углерода. Нумерацию в цикле производят таким образом, чтобы заместители получили наименьшие номера. Структурные формулы циклоалканов часто записывают в сокращённом виде, используя геометрическую форму цикла и опуская символы атомов углерода и водорода. Ниже приведены примеры для обычных циклов:
При обычных условиях `"C"_3 - "C"_4` - газы, `"C"_5 - "C"_16` - жидкости, начиная с `"C"_17` - твёрдые вещества. Поскольку молекулы циклоалканов малополярны, все они нерастворимы в воде.
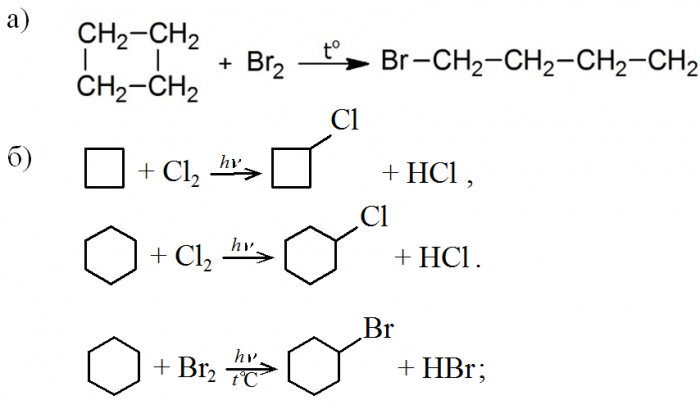
1. Основной способ получения циклоалканов – отщепление двух атомов галогена от дигалогеналканов при действии на них активными металлами:
2. При каталитическом гидрировании ароматических углеводородов образуется циклогексан и его производные:
По химическим свойствам малые и обычные циклы существенно различаются между собою. Малые циклы склонны к реакциям присоединения, то есть сходны с алкенами. Обычные циклы по своему химическому поведению близки к алканам, так как вступают в реакции радикального замещения `"S"_"R"`.
1. Гидрирование циклоалканов:
Циклоалканы, имеющие в цикле пять и более атомов углерода, с водородом в этих условиях не реагируют:
2. Реакции с галогенами:
3. Гидрогалогенирование:
4. Дегидрирование:
5. Окисление циклогексана под действием сильных окислителей приводит к образованию дикарбоновой кислоты – гександиовой (адипиновой) кислоты:
При полном сгорании циклоалканов образуются углекислый газ и вода.